写在前面:RFM模型分析在当下已经是非常常见的了,广泛运用与电商或传统商业提高自己的利润总量。什么是RFM模型?即通过分析一个客户的近期购买行为、购买的总体频率以及花费多少钱等3项指标来描述该客户的价值状况。该算法是其中之一参考度是频率,即从最简单也是最容易想到的角度出发,研究如何从客户角度来推销更多产品,而之前学习的挖掘算法都是基于产品的角度。
Discovering valuable frequent patterns based on RFM analysis without customer identification information
样例

定义
- 交易项集 $T = \lbrace t_{\rm i}, (x_1, q_{\rm x_1}), \dots, (x_{\rm m}, q_{\rm x_m}\rbrace$,其中 $t$ 表示该交易项集发生的时间,$x$ 表示项(商品),$q_{\rm x_j}$ 表示内部效用(商品购买量)
- 频繁度分值(Frequency score):相当于以前的支持度 $sup(X)$,该文中使用 $FScore_{DB}(X)$ 表示。不同的是,该支持度必须符合 $FScore(X) \ge \mid DB\mid \times \alpha$ 才能把该项集 $X$ 当作是 $F$-$pattern$(其中 $\alpha$ 是阈值,$\mid DB\mid$ 表示数据集中包含的总交易项数量)
- 利润分值(Monetary score):相当于以前的效用值 $u(X)$,该文中使用 $MScore(X, T_{\rm j})$ 表示在交易项 $T_{\rm j}$ 中该项集 $X$ 的利润分值,定义式为 $MScore(X, T_{\rm j}) = \sum_{\rm x_i \in X \land X \subseteq T_{\rm j}}p(x_{\rm i}) \times q_{\rm x_i}$。更进一步,项集 $X$ 在整个数据集中的利润分值定义为 $MScore(X) = \sum_{T_{\rm j} \in DB}$。当 $MScore(X) \ge \beta$ 时,我们认定该项集是 $M$-$pattern$(其中 $\beta$ 是设置的阈值)
- 近期分值(Recency score):在交易项集 $T_{\rm j}$ 内,项集 $X$ 存在,定义为 $RScore(X, T_{\rm j}) = (1-\delta)^{time_{\rm current}-time_{\rm T_j}}$(其中 $\delta \in (0, 1)$ 是设定的衰减速度),更进一步,项集 $X$ 在整个数据集中的近期分值定义为 $RScore(X) = \sum_{T_{\rm j} \in DB}RScore(X, T_{\rm j})$。当 $RScore(X) \ge \gamma$ 时,我们认定该项集是 $R$-$pattern$ (其中 $\gamma$ 是设定的阈值)
Ps. 当某个项集 $X$ 满足以上三个度量分值都不小于各自设定的阈值时候,我们认定该项集是 $RFM$-$pattern$
- 项集的交易项效用值(Transaction utility)类似于以前的 $tu(X, T_{\rm j})$,该文中定义为 $ta(X, T_{\rm j}) = \sum_{x_{\rm i} \in T_{\rm j} \land X \subseteq T_{\rm j}}p(x_{\rm i}) \times q_{\rm x_i}$,更进一步,项集 $X$ 在整个数据集中的总交易项效用值定义为 $tta_{\rm DB}(X) = \sum_{T_{\rm j}}ta(A, T_{\rm j})$
Ps. 当某个项集 $X$ 满足 $FScore(X) \ge \mid DB\mid \times \alpha$,$tta_{\rm DB}(X) \ge \beta$,$RScore_{\rm DB}(X) \ge \gamma$,那么我们认定该项集是 $RFT$-$pattern$ (类似于使用 TWU 筛选出候选项集,即需要进一步确认的项集)
RFM-pattern-tree:在 $FP$-$Tree$ 上进行改造,结构如下图所示:

性质
设 $SRFM$ 和 $SRFT$ 分别代表 $RFM$-$pattern$ 集和 $RFT$-$pattern$ 集,那么有 $SRFM \subseteq SRFT$
证明:
根据 $MScore(X, T_{\rm j}), \, ta(X, T_{\rm j})$ 的定义,我们很容易得出 $\sum_{x_{\rm i} \in T_{\rm j}}p(x_{\rm i}) \times q_{\rm x_i} \ge \sum_{x_{\rm i} \in X}p(x_{\rm i}) \times q_{\rm x_i}$(因为 $X \subseteq T_{\rm j}$)进而 $tta_{\rm DB}(X) \ge MScore_{\rm DB}(X)$。可知当项集 $X$ 是 $RFM$-$pattern$ 时,必然是 $RFT$-$pattern$
当一个项集是 $RFT$-$pattern$,那么它的任何子集依然会是 $RFT$-$pattern$(向下封闭性)
证明:
设项集 $X, \, X’$ 是 $R$-$pattern$ 和 $F$-$pattern$,且 $X’ \subset X$。自然有 $T_{\rm X} \subset T_{\rm X’}$(反过来看 $X$ 是 $X’$ 的扩展集,那么包含 $X’$ 的交易项集不一定包含 $X$)即 $tta_{\rm DB}(X’) \ge tta_{\rm DB}(X)$,得证
略
算法
构造 RFM-pattern-tree:

构造 RFM-header-tree 伪代码:计算方式和之间计算 1-utility-list 是一样的,一层层遍历交易项 $T_{\rm i}$,一层层把本轮遍历计算出来的结果添加到表中,伪代码如下:

以下演示根据样例数据集计算,我们假设 $\alpha = 10\%, \, \beta = 100\%, \, \gamma = 0.95\%, \, \delta = 0.01\%, t_{\rm current} = 115$,遍历 $T_1$ 可以得到 $RScore_{\rm DB}(T_1) \approx 0.315, \, FScore_{\rm DB}(T_1) = 1, \, tta_{\rm DB}(T_1) = 312$,即下表:
| item-name | RScore | FScore | tta | link |
|---|---|---|---|---|
| A | 0.315 | 1 | 312 | |
| B | 0.315 | 1 | 312 | |
| F | 0.315 | 1 | 312 |
遍历交易项 $T_2$ 可以得到 $RScore_{\rm DB}(T_2) \approx 0.377, \, FScore_{\rm DB}(T_2) = 1, \, tta_{\rm DB}(T_2) = 164$,即下表:
| irem-name | RScore | FScore | tta | link |
|---|---|---|---|---|
| A | 0.692 | 2 | 476 | |
| B | 0.692 | 2 | 476 | |
| F | 0.692 | 2 | 476 |
…依次计算各交易项,最终得到下表(已进行过滤且按照 $FScore$ 降序排列):
| item-name | RScore | FScore | tta | link |
|---|---|---|---|---|
| A | 4.976 | 8 | 1059 | |
| E | 4.304 | 6 | 768 | |
| C | 2.525 | 4 | 329 | |
| F | 2.494 | 4 | 679 | |
| B | 1.158 | 3 | 667 | |
| D | 1.778 | 2 | 300 |
构造 RFM-pattern-tree 伪代码:

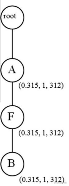
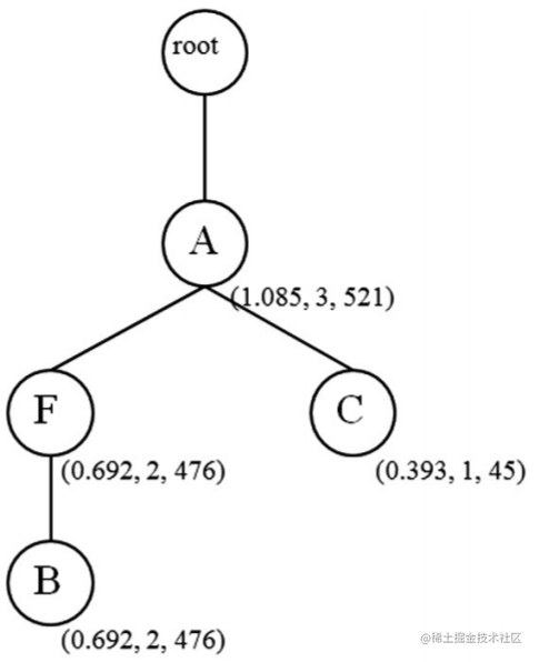
以下继续演示计算,遍历交易项 $T_1$ 时,可以得到 $RScore_{\rm DB}(T_1) \approx 0.315, \, FScore_{\rm DB}(T_1) = 1, \, tta_{\rm DB}(T_1) = 312$,分别创建三个子节点: $insert_node([A \mid FB], root, 0.315, 312)$,$insert_node([F \mid B], A, 0.315, 312)$,和 $insert_node([B \mid - null], B, 0.315, 312)$ 排序后如下图(左)所示(Ps. 文中特别强调了在创建节点后需要立即建立相应的索引);遍历交易项 $T_2$ 时,可以得到 $RScore_{\rm DB}(T_2) \approx 0.377, \, FScore_{\rm DB}(T_2) = 1, \, tta_{\rm DB}(T_2) = 164$,由于节点已经存在,所以直接相加重新赋值,下图(中)所示;遍历交易项 $T_3$ 时,可以得到 $RScore_{\rm DB}(T_3) \approx 0.393, \, FScore_{\rm DB}(T_3) = 1, \, tta_{\rm DB}(T_3) = 45$,因为节点 $C$ 在 $A$ 后面,所以新开一条分支,如下图(右)所示:
…经过多次计算,可以得到最终结果如下图(构造流程也可以参考$FP$-$Tree$):

RFMP-growth 算法伪代码:

tree-growth 算法伪代码:

总结
该算法基于之前的FP-Growth算法改进而成,需要注意的是由于衡量标准的增多,算法在一定程度上需要多次扫描数据集,如何设计一个好的数据结构是比较重要的,再者Up-Growth是对FP-Growth的改进,那么是否能对RFMP-Growth进行改进呢?
